
Disclosure: New Age Metals Inc. has paid FRC a fee for research coverage and distribution of reports. See last page for other important disclosures, rating, and risk definitions.

* Qualified Person: Dr. William Stone, P.Geo., Robert M. Retherford, CPG, Consultants to New Age Metals
* New Age Metals Inc. has paid FRC a fee for research coverage and distribution of reports. See last page for other important disclosures, rating, and risk definitions. All figures in C$ unless otherwise specified.
Price and Volume (1-year)


NAM’s Target Metals: A Brief Overview
Lithium:
Gold:
PGMs, lithium, and antimony are designated as critical minerals in the U.S. and Canada, prompting a major push to build a North American supply chain amid elevated geopolitical tensions
Palladium & Platinum:
Antimony:
NAM - Portfolio Summary

Multiple critical metal projects in North America
NAM also holds a 13% interest (19% fully diluted) in MetalQuest Mining (TSXV: MQM, MCAP: $10M), the 100% owner of the Lac Otelnuk iron ore project in Quebec
Platinum Group Metals Division
River Valley Palladium Project (100% interest)
This advanced-stage project spans 107 km² in Sudbury, a world-class Ni-Cu- PGM mining district, with major processing facilities.
Project Location

Located 100 km east of Sudbury
Water can be sourced from local freshwater bodies, and power from one of two lines located approximately 15 km and 22 km from the project
The property hosts a large tonnage/low-grade PGM deposit, and is one of the largest undeveloped primary PGM deposits in North America
2021 Resource Estimate

(QP Robert M. Retherford, CPG, Consultant to New Age Metals Inc.)
Primary PGM deposits are rare outside of South Africa and Russia
A total of 733 holes (> 155,000 m) have been completed
Palladium accounts for 65%-70% of contained ounces
Resource Expansion Potential

Resources are spread across multiple targets
We believe there is potential for resource expansion, as several targets adjacent to existing resources remain untested
In 2023, NAM completed a Preliminary Economic Assessment (PEA), advancing the project toward production through a small, high-grade operation. The study was likely conservative, using only 43% of the project’s M&I resources
2023 PEA Highlights

The PEA returned an After Tax-NPV5% of $140M, and a low AT-IRR of 11%, using US$2,150/oz palladium vs the spot price of US$1,425/oz (break-even: US$1,750/oz
To improve the project’s economics, NAM is pursuing resource expansion drilling, and evaluating the potential to enhance recoveries
Management aims to improve recoveries using new and alternative technologies, and potentially upgrade/expand the resource through infill and step-out drilling at the Dana South, Lismer North, and Varley zones. Details of the next drill program are yet to be announced.
Genesis PGM-Cu-Ni Project (100% interest)
This drill-ready project, covering 4,144 hectares (10,240 acres) of mining claims, is located 460 km south of Fairbanks, Alaska.
Project Location

Located 82 km northeast of the all-weather port city of Valdez
Accessible via 3 km of an all-season paved highway, and a high-capacity power line
Past exploration has identified two styles of PGM mineralization, spanning 9 km between the Sheep Hill and Bernard Mountain prospects.
Two Prospects

Grab sampling has returned values of 2.4 g/t Pd, 2.4 g/t Pt, 0.96% Ni, and 0.58% Cu
The Sheep Hill formation is visible at the surface along a ~2 km stretch
Proposed Project Timeline

The property has never been drilled
NAM is awaiting results from recent mapping and sampling at the Sheep Hill prospect
Management is seeking a JV/option partner
Lithium Division
Lithium Projects

12 early-stage lithium projects
NAM is the largest claim holder in the Winnipeg River field (21,611 ha across 11 properties) in southern Manitoba; Australian lithium producer Mineral Resources Ltd. (MRL) can earn up to a 75% interest in these projects
Last year, NAM and MRL initiated an exploration program (fully funded by MRL), including geophysical surveys, sampling, mapping, prospecting, and 15,000 m of drilling.
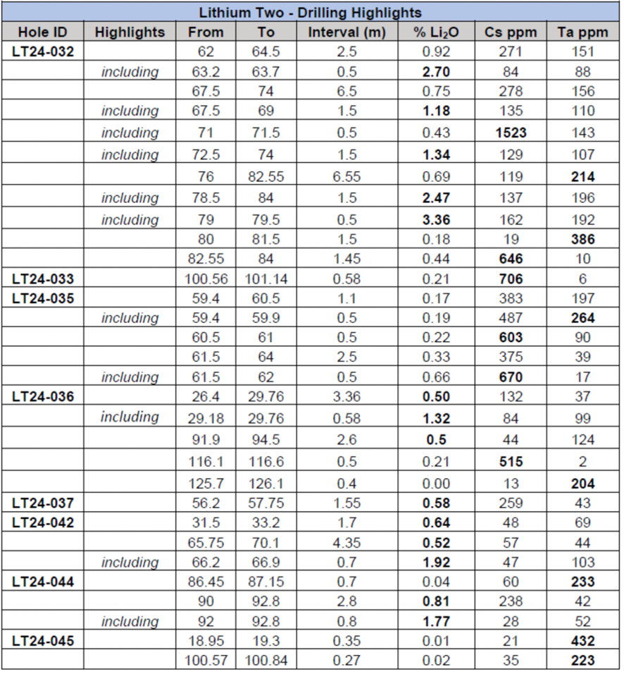
2024 Drill Highlights

MRL has spent over $10M in exploration

(QP: Lynde Guillaume, Independent Consultant to New Age Metals Inc.)
Drilling on Lithium Two, Bird River, and Lithman East returned 158 pegmatite intersections from 41 of 56 holes
Gold-Antimony Division
Newfoundland Portfolio
This early-stage portfolio, covering 19,300 ha, includes 12 gold-antimony projects in Newfoundland and Labrador. The claims are strategically located near New Found Gold’s (TSXV: NFG) Queensway project, and along strike of the past-producing Beaver Brook antimony mine.
Newfoundland Properties

NAM completed a phase one exploration program to identify targets
A phase two program is planned to generate drill targets for 2026
Bonanza Gold Project (option to acquire a 100% interest)
This early-stage project, covering 2,191 ha, is located 25 km southeast of Kenora in northwestern Ontario. The Kenora mining district is known for its Archean greenstone belts and is one of Canada’s most prolific gold camps, hosting majors such as Agnico Eagle (TSX: AEM), Kinross (NYSE: KGC), Centerra (TSX: CG), and New Gold (NYSE: NGD).
NAM gained control of the project this month
Exploration has identified five prospects across 4 km of the project area. Recent sampling confirmed gold mineralization at the Triggs, Kite Lake, Stella, and Blue Star prospects.
2025 Sampling Highlights

(QP: Dr. William Stone, P.Geo., Consultant to New Age Metals Inc.)
Excellent infrastructure including access to road, and provincial grid power lines
Surface grab sampling returned high gold grades of up to 127 g/t Au
The project is drill-ready, with permits in place
Management and Board
Share Ownership

Management and board own 5%
Eric Sprott is the largest shareholder, holding 30% of outstanding equity
Four out of five directors are independent
Financials

Strong balance sheet

Can raise up to $0.76M from in-the-money options
FRC Valuation & Rating

NAM is trading at $7/oz PGM vs the comparables’ average of $12/oz
Using NAM’s River Valley resource and the average EV/oz, our estimated fair value is $0.50/share for the project

Early-stage lithium projects are trading at an Enterprise Value (EV) of $690/ha on average
Applying the average EV/ha to NAM’s hectares results in a fair value of $0.36/share

Using a sum-of-parts valuation, we arrive at a fair value of $0.95/share
Given their early-stage nature, we are not currently assigning a value to the company’s gold-antimony portfolio or the Bonanza project
We are resuming coverage with a BUY rating, and a fair value estimate of $0.95/share. NAM offers a diversified North American metals portfolio with exposure to PGM, lithium, gold, and antimony, supported by strong market trends and macro tailwinds. Recent developments, including an equity financing led by Eric Sprott, underscore investor confidence in the company’s management and portfolio. Near-term catalysts include efforts to enhance River Valley’s economics, and advance exploration across its other projects.
Risks
We believe the company is exposed to the following key risks (not exhaustive):
We are assigning a risk rating of 5 (Highly Speculative)
Subscribe for free to get exclusive insights and fair value data.
Subscribe for free to get exclusive insights and fair value data.